Torque Converter Balancing Adjustment: Necessity or Waste of Time?

Torque Converter Balancing Adjustment: Necessity or Waste of Time?

Nowadays, there are many repair shops specialized in the torque converter repair. In fact, all transmission repair specialists perform the same operations during the torque converter repair, but opinions differ when it comes to the necessity of balancing adjustment for a rebuilt torque converter. Let us try to estimate the value of balancing adjustment in the torque converter repair process.

If we carefully inspect a conventional torque converter, we can notice the balancing weights welded to the body. It means that the balancing adjustment procedure was performed by the manufacturer.



Torque converter with balancing weights

Why do so many repair specialists disregard this operation?

Let us imagine what happens to imbalanced car components. First of all, the imbalance increases radial loads on support mechanisms of the rotating elements, leading to their premature wear-out and subsequent damage. Moreover, the imbalance transmits vibrations via shaft bearings to the entire unit or mechanism, and vibrations subsequently cause wear of various elements. For example, a badly fastened bolt can get loose. Another vivid example can be an imbalanced car wheel. When driving even on smooth roads, the whole car vibrates, and silent blocks wear out very quickly.

In case with the torque converter, everything is a little more complicated, since there are some parts in the torque converter that rotate separately from the torque converter body. It should be noted that the transmission fluid constantly flows inside the torque converter, and this fluid operates not under mechanical, but under hydrodynamic laws. In the process of movement inside the torque converter, the fluid centers the stator and the converter turbine, and in some way reduces the imbalance existing in the torque converter.

Initially, all torque converter parts are balanced separately, thus if any internal parts (such as a stator or turbine) are replaced, the torque converter balance won’t change.





But the imbalance may occur when replacing a certain part of the torque converter body.

Many repair specialists mark the body and the cover of the torque converter before cutting the converter open in order to use them as a clue for proper welding.



Don’t be confused by the number “2” on the torque converter body. In this case, it is just a mark to simplify combination of two torque converter halves.

The same principle is applied when cutting the lock-up plate or removing the components, which rotate with the body. In principle, this method is quite logical and time-proven.



But what should be done if you’ve replaced the torque converter body?

Equipment manufacturers offer balancing stands, designed specifically for torque converters. But how reliable are they? Since the internal parts of the torque converter have a clearance, subsequently they can move a certain distance in the radial direction.


If you simply install the torque converter on the balancing stand, then the moving parts will shift from the axle under the action of centrifugal forces. If you balance such torque converter on the stand, and just shake it up, then the imbalance will reappear. It can be concluded that it is necessary to find a way to keep the internal parts locked.


We’ll consider 3 solutions for this problem of keeping the internal parts locked:

  • The first solution is to insert a part of the input shaft in the torque converter during the balancing process in order to manually prevent the internal parts from rotation. As a result, the balancing accuracy is increased. However, a man’s hand is not a rigidly fixed support and there is a possibility that the friction material of the lock-up mechanism will come into contact with the body, if there is some mismatch and displacement of the hand-supported shaft. It can lead to errors in the balancing stand readings.

  • The second solution is to apply compressed air through the axial bore of the input shaft. The shaft is locked in the rigid body and it is preliminarily centered relative to the balanced torque converter. The internal parts will be prevented from rotation and will ascend a little. Thus, these parts will be locked inside the torque converter body without coming into contact with it. Theoretically, this approach has to increase the accuracy of balancing.
  • The third solution is to install a shaft in the torque converter, which will center the internal parts relative to the torque converter body. It can be a spline shaft or a cylindrical shaft. The shaft is centered relative to the hub. This method will allow repair specialists to compensate the centrifugal force and to prevent the internal parts from radial displacement.


The difference between the presence and lack of splines on the shaft will be that without splines the internal parts of the torque converter may slip relative to the torque converter body in the process of acceleration or braking. Splines will prevent the slippage, but only in case if the shaft is rigidly locked on the hub. This method can be applied if the torque converter is filled with ATF.



Balancing adjustment on the stand

First of all, the torque converter must be centered as accurately as possible relative to rotational axis of the stand. It is necessary to position the torque converter on the balancing stand keeping in mind the alignment parameter; otherwise the process of balancing adjustment will be much more complicated. If the torque converter does not rotate on the faceplate of the balancing stand in the process of balancing adjustment, then it is not necessary to take preventive measures against unintended rotation. But if the torque converter rotates on the faceplate, then the repair specialist has to lock it up via the holes by which the torque converter is attached to the flywheel. In this case, the positioning of fixing bolts must be equally distributed around the circumference of the torque converter, and the bolts themselves must have the same weight. To perform the final test of the balanced torque converter, it is necessary to re-install the unit on the stand, make a 180° turn from its initial position and to check balance one more time. If the torque converter is balanced accurately, then the imbalance parameter will be within acceptable limits.


What is acceptable residual imbalance value for torque converters?

According to ISO 1940-1:2003, the recommended index / accuracy class for car parts ( wheels, rims, wheel pairs, transmissions) will be G40.

With that in mind, it is possible to calculate the residual imbalance, which can be specified as

40 g*mm/kg at 10,000 rpm

A car crankshaft rotates within the range from 500 to 10,000 rpm

As an example, we’ll consider the rotational speed of 5,000 rpm.

For a given rotational speed, the imbalance parameter will be 80 g*mm/kg.


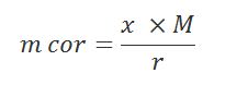
If we reduce grams and kilograms, then the imbalance value will be equal to 80 microns. This is a conditional value by which the center of mass can be shifted relative to the axis of rotation. To get the value in grams (shown on the balancing stand) it is necessary to multiply this value by the mass of the torque converter (kg) and then divide the result by the correction radius (mm).

Let us apply the abovementioned algorithm on the example of the torque converter weighing 5 kg and having the diameter of 280 mm.

80*5/(280/2)=400/140=2,85 g.

This means that the considered torque converter must be balanced to a value not higher than 2,85 g.

To simplify calculations, let us reduce this data into the following formulas :


m cor- correction mass in grams.

x, (µm) – conditional displacement of the center of mass.

M, (kg) – mass of the torque converter being balanced.

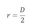
r, (mm) – correction radius .


G - recommended accuracy class

n, (r/min) – crankshaft rotational speed.



D, (mm)- the diameter of the balanced torque converter.


If you decide to perform the torque converter balancing adjustment, then first of all you have to understand what balancing method suits you best. You have to decide whether you’ll balance the torque converter filled with ATF or without it. You have to make sure that the equipment you have at your disposal will be enough to perform the balancing procedure accurately. And most importantly, if the torque converter imbalance on the stand is within the acceptable range, then you should not add or remove balance weights. It can make things even worse.

The torque converter balancing is the topic of ongoing debates. There is no universal method that can be successfully applied in any case. In this article, I’ve shared my own experience on this topic. The final choice is yours .