Transmission Solenoids Frequency. What is the right one?
In our last article we talked about
frequency and how it relates to the mechanical response of a solenoid when Pulse
Width Modulation (PWM) is used to control a solenoid. We discussed some of the
theory, but what does this look like with an actual solenoid? How does
frequency affect the response of a solenoid and how critical is matching the
OEM frequency when driving a solenoid, especially when we start talking about
testing and reclaiming solenoids.
To illustrate this, let us take a couple of
common solenoids and test them by sweeping from 0 to a max duty cycle, and back
to 0 duty cycle over about a 22 second time period. We will do this at a number
of different frequencies and compare the output pressure response and see if
the frequency a solenoid is pulsed at really has a noticeable effect. We will
also determine if this response is different for different solenoids.
For our test we chose a 5R110 PWM EPC Solenoid and a 6R140 PWM Shift Solenoid. The 5R110 is normally open and the 6R140 is normally closed and while their function is similar, they are physically quite different in both design and size. Here are the test specifications for each solenoid:
5R110 EPC
Solenoid 6R140
Shift Solenoid
OEM Drive
Frequency: 500 Hz OEM
Drive Frequency: 1000 Hz
Normally Open
Solenoid Normally
Closed Solenoid
Test Input
Pressure: 150 PSI Test
Input Pressure: 150 PSI
Duty Cycle Sweep:
0-45% Duty
Cycle Sweep: 0-80%
Test Temperature: 160F Test Temperature: 160F

Figure 1:
Ford 5R110 Solenoid Figure 2: Ford
6R140 Solenoid
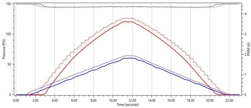
Figure 3: 35Hz vs. 500Hz - 5R110
For the 5R110 solenoid we ran tests at 35Hz, 50Hz, 100Hz, 200Hz, 300Hz, and 3000Hz. On the graphs, the solid red line is our expected pressure curve at the OEM frequency of 500Hz. The solid blue line is the expected current curve and the solid gray line is the expected input pressure at 500Hz. The dotted lines are the same readings but at the frequency specified in each caption.

Figure 4: 50Hz vs. 500Hz - 5R110
As we can see from the graphs, we get vastly different results from each different frequency. Keep in mind as we ran these tests everything was set up exactly the same except for the frequency the solenoid was driven at.

Figure 5:
100Hz vs. 500Hz - 5R110
At the low frequencies you could physically hear the solenoid buzz and rattle and you can see on the graphs that the output pressure was fluctuating as the internal valve was moving with the frequency that we were driving it with. We can also see that it was nearly impossible to regulate the output pressure in a stable condition. In fact, it was not until we got to 200Hz, that we were able to get the solenoid to drop to minimum pressure as we rose above 1.0 amp in current.

Figure 6: 200Hz
vs. 500Hz
At 200 Hz, our graphs were starting to align with each other. You can still see where the solenoid is buzzing and from the jagged parts on the graph on both the sweep up and sweep down, and the internal valve is still moving somewhat at the frequency we are pulsing it at and causing poor control.

Figure 7: 300Hz
vs. 500Hz - 5R110
Once we get to 300 Hz, our graphs align and literally lie over the top of each other.

Figure 8: 3000Hz vs. 500Hz - 5R110
Now, we do need to be careful as one might think that as long as we are at this minimum frequency or above, things will operate as expected and our testing is valid. One key aspect is that we want the internal valve to float smoothly as we control so we can regulate between minimum and maximum pressure. As part of the experiment, we also tried the solenoid at a much higher frequency, 3000Hz in this case. This caused not only our current and pressure graphs to shift, but also did not allow our solenoid valve to float and smoothly regulate pressure which again gave us a very different response that what was expected.

Figure 9:
50Hz vs. 1000Hz - 6R140
Next, we did the same experiment on the 6R140 Solenoid. Since this one had a higher OEM frequency, we tried this one at 50Hz, 100Hz, 200Hz, 500Hz, 750Hz, and 3000Hz. When we did this, we got similarly interesting results.

Figure 10: 100Hz vs. 1000Hz - 6R140
Again,
at the low frequencies we have extremely poor pressure control and could hear
the solenoid rattle and buzz. In this case since this was a normally closed
solenoid, we were unable to reach the max pressure that the solenoid should
have reached as we approached the maximum duty cycle in our sweep.

Figure 11: 200Hz vs. 1000Hz - 6R140
One interesting thing to note was that even at 500Hz, we still had very poor solenoid control. 500Hz is a very common frequency for quite a few PWM solenoids, especially on four and five speed automatics from a variety of different manufacturers. One might be tempted to conclude that as long as one could test up to 500Hz or so, I should have no trouble testing solenoids. 500Hz is quite a high frequency compared to 35Hz, 50Hz, or even 100Hz. Looking at the graphs for the 6R140 solenoid, its quite evident that 500Hz is not adequate to properly drive this solenoid. 750Hz gets us close to where we our graphs once again lie on top of each other.

Figure 12: 500Hz vs. 1000Hz - 6R140
Interestingly enough, we see the same behavior on this solenoid when we use a frequency that is much higher that the OEM frequency. We see where the solenoid does not float and smoothly regulate pressure as we sweep our duty cycle up and down.

Figure 13: 750Hz vs. 1000Hz - 6R140
As you examine the graphs for both solenoids, it becomes quite clear how important it is to drive a solenoid at the OEM frequency if you are testing and reclaiming solenoids. The ultimate goal of reclaiming solenoids is to verify that the solenoids you have tested and are reusing are in fact good and that you have confidence in your test results.

Figure 14: 3000Hz vs. 1000Hz - 6R140
Over the last few articles, I have talked about the importance of proper testing and how to get accurate and valid results. From these two examples with some real-world data, we can see why these test details are so important. In this case testing at the wrong frequency means that you may be failing solenoids that are in fact good or worse yet, open yourself up to passing solenoids that are in fact faulty. This ultimately defeats our goal of solenoid testing which is to save on the costs of buying new solenoids with each rebuild that comes into our shop.
As you research equipment to test solenoids, it is equally important that you look for a machine that has the ability to drive the solenoids at these proper frequencies. Older equipment like the Answermatic Solx only had 6 frequencies to pick from on its controller. If the solenoid’s OEM frequency was not one of those 6, then you were unable to drive it at the proper frequency.

Figure 15: Hydra-Test HT Sol 25 Solenoid Test Machine
Modern
equipment, such as the Hydra-Test HT Sol 25, gives you the ability to precisely
set the frequency to match what is required for both older and modern solenoids
as you write the specific test scripts. With this kind of flexibility, you are
able to test any solenoid at the proper frequency, including solenoids in new
models being released this year. The added features of the HT Sol are the
increased pressure capacity, superior temperature control, and a large open
work area mean you have a reliable machine that will serve you for years to
come testing and reclaiming solenoids.